勞動防護用品的種類繁多,涉及面廣,正確選擇勞動防護用品是保證勞動者的安全與健康的前提。勞動防護用品選擇和使用需要根據國家標準、行業(yè)標準以及防護用品的防護性能適用于生產崗位有害因素的存在形式、性質、濃度等來決定,同時還要保證作業(yè)人員穿戴要舒適方便,不影響工作。

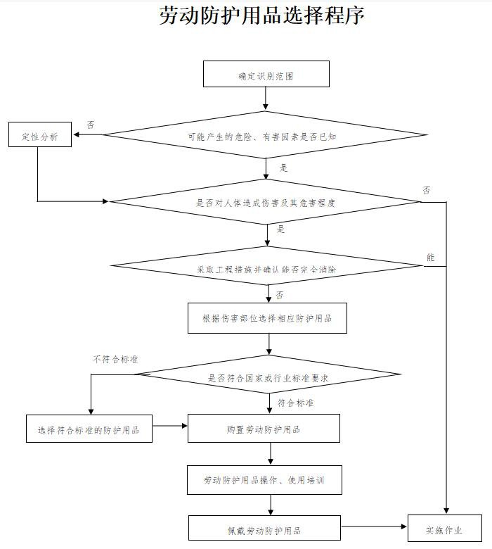
勞動防護用品選擇程序可以參考如下:

勞動防護用品選擇程序圖

確定識別范圍

可能產生的危險、有害因素是否已知->否-> 定性分析

是否對人體造成傷害及其危害程->是

采取工程措施并確認能否完全消除

根據傷害部位選擇相應防護用品

是否符合國家或行業(yè)標符合標準->不符合則重新選擇標準的防護用品

購置勞動防護用品

勞動防護用品操作、使用培訓

選擇符合標準的防護用品

不符合標準

佩戴勞動防護用品

實施作業(yè)